所有分类
搜索产品

原装进口试剂

沪慧生物试剂

原装进口抗体

耗材仪器类

综合类产品

大包装试剂及原料

磁珠系列产品

 
产品中心
沪慧(上海)生物科技有限公司  
订购/客服热线:400-138-0886  
地址:上海市金山区亭林镇寺平南路19号3幢2938室
沪慧生物试剂      您的当前位置:首页 -> 产品中心 -> 沪慧生物试剂  
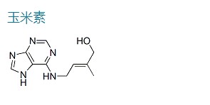
产品编号:F11899-1G 产地:沪慧
中文名称:反玉米素 原货号:F11899
英文名称:Trans-Zeatin 规格:1G
分 子 式:F11899 分 子 量:现货
CAS# :1637-39-4 单位:瓶
型号 单价: ¥1500.00         折扣价:¥1500.00
备注:C10H13N5O MW:219.24 Purity≥98% Store:-15~-20℃
中文别名:1500英文别名:0
危 险 品: 危险系数:
在线订购: 产品说明书: 
产品属性:

别名: 反式-6-(4-羟基-3-甲基-2-丁烯基氨基)嘌呤;N6-异戊烯腺嘌呤;6-(4-Hydroxy-3-methylbut-2-enylamino)purine;N6-(4-Hydroxy-3-methyl-2-buten-1-yl)adenine   

外观: 白色或类白色粉末

熔点: 207oC

溶解性: 溶于水,溶于醇和DMF。

说明: 是一种细胞分裂素,也是核糖核酸中(RNA)的稀有成分;可用于植物生长调节剂和植物细胞培养液配制。也有促进植物细胞分裂作用。

仅用于研发。不作为药品、家庭或其它用途。

版权所有:沪慧(上海)生物科技有限公司      沪ICP备18027770号-1