所有分类
搜索产品

原装进口试剂

沪慧生物试剂

原装进口抗体

耗材仪器类

综合类产品

大包装试剂及原料

磁珠系列产品

 
产品中心
沪慧(上海)生物科技有限公司  
订购/客服热线:400-138-0886  
地址:上海市金山区亭林镇寺平南路19号3幢2938室
沪慧生物试剂      您的当前位置:首页 -> 产品中心 -> 沪慧生物试剂  
产品编号:M12023-250G 产地:沪慧
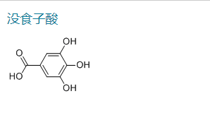
中文名称:没食子酸 原货号:M12023
英文名称:Gallic acid 规格:250G
分 子 式:M12023 分 子 量:现货
CAS# :149-91-7 单位:瓶
型号 单价: ¥120.00         折扣价:¥120.00
备注:C7H6O5 MW:170.12 Purity≥98% Store:18~26℃
中文别名:120英文别名:0
危 险 品: 危险系数:
在线订购: 产品说明书: 
产品属性:

别名: 倍酸; 3,4,5-三羟基苯甲酸; 3,4,5-三羟基苯甲酸; 五倍子酸; 棓酸

外观: 白色结晶或粉末

熔点: 252oC (dec.)(lit.)

具有抗菌作用,可治疗菌痢。具有收敛、止血、止泻作用。可用作防腐剂。可制备焦性没食子酸、药物、墨水、媒介染料和防爆剂等。还用作显影剂和检测游离无机酸、二羟基丙酮、生物碱和金属等的分析试剂。本品为科研实验用试剂类产品。

仅用于研发。不作为药品、家庭或其它用途。

版权所有:沪慧(上海)生物科技有限公司      沪ICP备18027770号-1