所有分类
搜索产品

原装进口试剂

沪慧生物试剂

原装进口抗体

耗材仪器类

综合类产品

大包装试剂及原料

磁珠系列产品

 
产品中心
沪慧(上海)生物科技有限公司  
订购/客服热线:400-138-0886  
地址:上海市金山区亭林镇寺平南路19号3幢2938室
沪慧生物试剂      您的当前位置:首页 -> 产品中心 -> 沪慧生物试剂  
产品编号:Q12198-500G 产地:沪慧
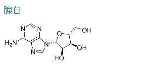
中文名称:腺苷 原货号:Q12198
英文名称:Adenosine 规格:500G
分 子 式:Q12198 分 子 量:现货
CAS# :58-61-7 单位:瓶
型号 单价: ¥450.00         折扣价:¥450.00
备注:C10H13N5O4 MW:267.24 Purity≥99% Store:2~8℃
中文别名:450英文别名:0
危 险 品: 危险系数:
在线订购: 产品说明书: 
产品属性:

别名: 腺嘌呤核苷;9-β-D-呋喃核糖基腺嘌呤;腺素苷;胰苷;腺呤配糖;腺尿环核苷;腺甙

外观: 腺苷为白色或类白色结晶性粉末

溶解性: 溶于水,不溶于醇。

熔点: 234-236℃

主要用于制造阿糖腺苷(Ara-AR)、腺苷三磷酸(ATP)、辅酶A(COASH)及其系列产品环磷酸腺苷(CAMP)等药物的主要原料。

注意: 本公司产品只提供用于科研实验研究,不可用于临床,不可家庭使用,不可食用及其它用途。

版权所有:沪慧(上海)生物科技有限公司      沪ICP备18027770号-1