 |
沪慧(上海)生物科技有限公司 订购/客服热线:400-138-0886 地址:上海市金山区亭林镇寺平南路19号3幢2938室 |
|
|
 |
原装进口试剂 |
您的当前位置:首页 -> 产品中心 -> 原装进口试剂
|
|
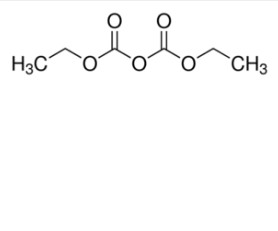
| 产品编号:D5758-25ML |
产地:sigma原装 |
| 中文名称:焦碳酸二乙酯 |
原货号:D5758 |
| 英文名称:Diethyl pyrocarbonate |
规格:25ML |
| 分 子 式:D5758 |
分 子 量:2-3天 |
| CAS# :1609-47-8 |
单位:瓶 |
| 型号: |
单价:
¥1187.7.00
折扣价:¥1128.00
|
| 备注:别名: DEP DEPC 氧二甲酸二乙酯 焦炭酸二乙酯 重碳酸二乙酯 storage temp:2-8°C |
| 中文别名:1128英文别名:0 |
| 危 险 品: |
危险系数: |
在线订购: |
产品说明书:  |
|
 |
| 产品属性: |
 |
|
|