 |
沪慧(上海)生物科技有限公司 订购/客服热线:400-138-0886 地址:上海市金山区亭林镇寺平南路19号3幢2938室 |
|
|
 |
原装进口试剂 |
您的当前位置:首页 -> 产品中心 -> 原装进口试剂
|
|
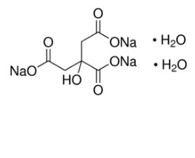
| 产品编号:V900095-500G |
产地:SIGMA-VETEC原装 |
| 中文名称:柠檬酸钠 二水合物 |
原货号:V900095 |
| 英文名称:Sodium citrate tribasic dihydrate |
规格:500G |
| 分 子 式:V900095 |
分 子 量:2-3天 |
| CAS# :6132-04-3 |
单位:瓶 |
| 型号: |
单价:
¥129.52.00
折扣价:¥123.00
|
| 备注:别名: 柠檬酸 三钠盐 二水合物 柠檬酸三钠 二水合物 常温保存 |
| 中文别名:123英文别名:0 |
| 危 险 品: |
危险系数: |
在线订购: |
产品说明书:  |
|
 |
| 产品属性: |
 |
|
|