 |
沪慧(上海)生物科技有限公司 订购/客服热线:400-138-0886 地址:上海市金山区亭林镇寺平南路19号3幢2938室 |
|
|
 |
原装进口试剂 |
您的当前位置:首页 -> 产品中心 -> 原装进口试剂
|
|
| 产品编号:P0879-500MG |
产地:sigma原装 |
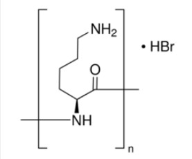
| 中文名称:聚-L-赖氨酸 氢溴酸盐 |
原货号:P0879 |
| 英文名称:Poly-L-lysine hydrobromide |
规格:500MG |
| 分 子 式:P0879 |
分 子 量:2-3天 |
| CAS# :25988-63-0 |
单位:瓶 |
| 型号: |
单价:
¥5452.4.00
折扣价:¥5180.00
|
| 备注:storage temp: −20°C |
| 中文别名:5180英文别名:0 |
| 危 险 品: |
危险系数: |
在线订购: |
产品说明书:  |
|
 |
| 产品属性: |
 |
|
|