所有分类
搜索产品

原装进口试剂

沪慧生物试剂

原装进口抗体

耗材仪器类

综合类产品

大包装试剂及原料

磁珠系列产品

 
产品中心
沪慧(上海)生物科技有限公司  
订购/客服热线:400-138-0886  
地址:上海市金山区亭林镇寺平南路19号3幢2938室
沪慧生物试剂      您的当前位置:首页 -> 产品中心 -> 沪慧生物试剂  
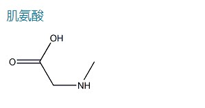
产品编号:J10462-500G 产地:沪慧
中文名称:肌氨酸 原货号:J10462
英文名称:Sarcosine 规格:500G
分 子 式:J10462 分 子 量:现货
CAS# :107-97-1 单位:瓶
型号 单价: ¥380.00         折扣价:¥380.00
备注:C3H7NO2 MW:89.09 Purity≥99.0% Store:18~26℃
中文别名:380英文别名:0
危 险 品: 危险系数:
在线订购: 产品说明书: 
产品属性:

别名: N-甲基甘氨酸; 甲氨基乙酸; 肉氨基酸; N-甲胺乙酸; N-甲基氨基乙酸           

外观: 白色结晶粉末            

熔点: 208-212°C           

溶解性: 有潮解性。溶于水,微溶于乙醇,不溶于乙醚。212℃分解。 

用途: 生化研究。抗酶剂的合成。生化试剂,染料稳定剂,日用化学,氨基酸型表面活性剂,保健药品疲劳恢复剂等。

仅用于研发。不作为药品、家庭或其它用途。

版权所有:沪慧(上海)生物科技有限公司      沪ICP备18027770号-1