所有分类
搜索产品

原装进口试剂

沪慧生物试剂

原装进口抗体

耗材仪器类

综合类产品

大包装试剂及原料

磁珠系列产品

 
产品中心
沪慧(上海)生物科技有限公司  
订购/客服热线:400-138-0886  
地址:上海市金山区亭林镇寺平南路19号3幢2938室
沪慧生物试剂      您的当前位置:首页 -> 产品中心 -> 沪慧生物试剂  
产品编号:X11397-1KG 产地:沪慧
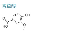
中文名称:香草酸 原货号:X11397
英文名称:Vanillic acid 规格:1KG
分 子 式:X11397 分 子 量:现货
CAS# :121-34-6 单位:瓶
型号 单价: ¥900.00         折扣价:¥900.00
备注:C8H8O4 MW:168.15 Purity≥98% Store:18~26℃
中文别名:900英文别名:0
危 险 品: 危险系数:
在线订购: 产品说明书: 
产品属性:

别名: 香荚兰酸,4-羟基-3-甲氧基苯甲酸,3-甲氧基-4-羟基苯甲酸  

外观: 白色粉末           

熔点: 210°C         

溶解性: 无气味。能升华而不分解。溶于860份水,易溶于乙醇,溶于乙醚。不与三氯化铁生成颜色。其盐类易溶于水。有刺激性。           

用途: 有机合成。制造香料

仅用于研发。不作为药品、家庭或其它用途。

版权所有:沪慧(上海)生物科技有限公司      沪ICP备18027770号-1