所有分类
搜索产品

原装进口试剂

沪慧生物试剂

原装进口抗体

耗材仪器类

综合类产品

大包装试剂及原料

磁珠系列产品

 
产品中心
沪慧(上海)生物科技有限公司  
订购/客服热线:400-138-0886  
地址:上海市金山区亭林镇寺平南路19号3幢2938室
沪慧生物试剂      您的当前位置:首页 -> 产品中心 -> 沪慧生物试剂  
产品编号:L11240-5G 产地:沪慧
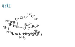
中文名称:钌红 原货号:L11240
英文名称:RutheniuM Red 规格:5G
分 子 式:L11240 分 子 量:现货
CAS# :11103-72-3 单位:瓶
型号 单价: ¥3300.00         折扣价:¥3300.00
备注:H42Cl6N14O2Ru3 MW:786.35 Purity≥98% Store:18~26℃
中文别名:3300英文别名:0
危 险 品: 危险系数:
在线订购: 产品说明书: 
产品属性:

别名: 氯氧钌; 氯氧钌(III); 氨化氯氧化钌

外观: 红棕色粉末          

熔点: >500℃          

溶解性: Soluble in NH4OH, and water (10 mg/ml).   

用途: 和钙离子结合的蛋白相互作用,抑制线粒体Ca2+ 单向转运体(uniporter);辣椒辣素拮抗剂;阻断VR1 香草素受体偶联离子通道。 钌红 (36%)还可作为电镜组织学用着色剂,与戊二醛一同使用进行黏多糖染色,与四氧化锇一同使用增加对比度。在埋封程序期间,其被用于维持病原细菌的 腊梅糖。据报导,该产品还用于霍乱孤菌的荚膜着色。

仅用于研发。不作为药品、家庭或其它用途。

版权所有:沪慧(上海)生物科技有限公司      沪ICP备18027770号-1