所有分类
搜索产品

原装进口试剂

沪慧生物试剂

原装进口抗体

耗材仪器类

综合类产品

大包装试剂及原料

磁珠系列产品

 
产品中心
沪慧(上海)生物科技有限公司  
订购/客服热线:400-138-0886  
地址:上海市金山区亭林镇寺平南路19号3幢2938室
沪慧生物试剂      您的当前位置:首页 -> 产品中心 -> 沪慧生物试剂  
产品编号:G12170-500G 产地:沪慧
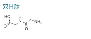
中文名称:甘氨酸二肽 原货号:G12170
英文名称:Glycylgcine 规格:500G
分 子 式:G12170 分 子 量:现货
CAS# :556-50-3 单位:瓶
型号 单价: ¥550.00         折扣价:¥550.00
备注:C4H8N2O3 MW:132.1 Purity≥99% Store:18~26℃
中文别名:550英文别名:0
危 险 品: 危险系数:
在线订购: 产品说明书: 
产品属性:

别名: N-甘氨酰甘氨酸;甘氨酰甘氨酸;双甘氨二肽;一缩二氨基乙酸;甘胜;甘氨酰替基氨酸;双甘肽

外观: 白色片状晶体,有光泽。 

溶解性: 易溶于水,微溶于乙醇

生化试剂,在生物研究上用作血液保存和蛋白质药物细胞色素C水针剂的稳定剂。

注意: 本公司产品只提供用于科研实验研究,不可用于临床,不可家庭使用,不可食用及其它用途。

版权所有:沪慧(上海)生物科技有限公司      沪ICP备18027770号-1