所有分类
搜索产品

原装进口试剂

沪慧生物试剂

原装进口抗体

耗材仪器类

综合类产品

大包装试剂及原料

磁珠系列产品

 
产品中心
沪慧(上海)生物科技有限公司  
订购/客服热线:400-138-0886  
地址:上海市金山区亭林镇寺平南路19号3幢2938室
沪慧生物试剂      您的当前位置:首页 -> 产品中心 -> 沪慧生物试剂  
产品编号:X11824-100G 产地:沪慧
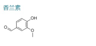
中文名称:香草醛 原货号:X11824
英文名称:Vanillin 规格:100G
分 子 式:X11824 分 子 量:现货
CAS# :121-33-5 单位:瓶
型号 单价: ¥68.00         折扣价:¥68.00
备注:C8H8O3 MW:152.15 Purity≥99% Store:18~26℃
中文别名:68英文别名:0
危 险 品: 危险系数:
在线订购: 产品说明书: 
产品属性:

别名: 香草醛;香荚兰醛;凡尼林;香荚兰素;3-甲氧基-4-羟基苯甲醛

外观: 白色结晶性粉末         

熔点: 81-83oC(lit.)         

溶解性: 易微溶于水,溶于醇、氯仿、醚、二硫化碳、冰乙酸、吡啶及碱液中,也溶于油类和氢氧化碱溶液,溶液对石蕊呈酸性。           

用途: 用作食用香精、日化香精、医药中间体

仅用于研发。不作为药品、家庭或其它用途。

版权所有:沪慧(上海)生物科技有限公司      沪ICP备18027770号-1