所有分类
搜索产品

原装进口试剂

沪慧生物试剂

原装进口抗体

耗材仪器类

综合类产品

大包装试剂及原料

磁珠系列产品

 
产品中心
沪慧(上海)生物科技有限公司  
订购/客服热线:400-138-0886  
地址:上海市金山区亭林镇寺平南路19号3幢2938室
沪慧生物试剂      您的当前位置:首页 -> 产品中心 -> 沪慧生物试剂  
产品编号:D11864-25G 产地:沪慧
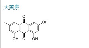
中文名称:大黄素 原货号:D11864
英文名称:Emodin 规格:25G
分 子 式:D11864 分 子 量:现货
CAS# :518-82-1 单位:瓶
型号 单价: ¥620.00         折扣价:¥620.00
备注:C15H10O5 MW:270.24 Purity≥98% Store:2~8℃
中文别名:620英文别名:0
危 险 品: 危险系数:
在线订购: 产品说明书: 
产品属性:

别名: 大黄素;朱砂莲甲素,1,3,8-三羟基-6-甲基蒽醌           

外观: 黄色至棕黄色粉末         

熔点: 255oC (dec.)(lit.)        

溶解性: 溶于乙醇,略溶于乙醚、氯仿、苯,不溶于水。溶于苛性碱水溶液、碳本酸钠水溶液,氨溶液中显樱红色。         

用途: 抑制NF -κB活化及粘附分子的表达。酪蛋白激酶2(CK2的)抑制剂.

仅用于研发。不作为药品、家庭或其它用途。

版权所有:沪慧(上海)生物科技有限公司      沪ICP备18027770号-1